防冲槽
编辑基本信息
为防止冲刷破坏,在泄水建筑物下游海漫末端设置的堆石棱形槽。海漫末端的水流流速往往仍大于河床的抗冲流速,可能引起局部冲刷,造成海漫甚至护坦的坍陷破坏,影响建筑物的安全。为此,常在海漫末端(有时也在上游护底前端)挖槽,堆放块石,形成防冲槽。块石直径一般采用0.3~0.5m。当河床遭受冲刷时,随着冲刷坑的发展,槽中块石向下滚动,坍落在临近建筑物一侧的冲坑坡面上,发挥盖护作用,限制冲刷坑继续向建筑物方向伸展,从而使海漫(或上游护底)的安全得到保证(见图)。
防冲槽示意图
1—海漫;2—防冲槽;3—原地面;4—冲刷坑;5—坍落于冲坑坡面的块石
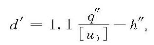
确定防冲槽尺寸时,需先根据水流流态及河床土质,计算可能的最大冲刷深度。由于水流流态复杂多变,冲刷深度常采用经验公式计算
式中,d′为海漫末端河床的可能冲刷深度,m;q″为海漫末端单宽流量,m3/(s·m);[u0]为河床土质的允许不冲流速,m/s,需根据试验或参照类似工程资料确定;h″s为海漫末端的河床水深,m。
冲刷坑的前后坡坡度一般不对称:临近建筑物一侧的平均坡度约为1∶3~1∶6,远离建筑物一侧的平均坡度约为1∶5~1∶10或者更缓。
根据估算的冲刷深度及坡面长度,可以计算出槽内所需存放的堆石体积。中国许多工程采用宽浅式梯形断面防冲槽,槽深一般为2~3 m,底部宽度可取其深度的2~3倍,上游边坡1∶2~1∶3,下游边坡1∶3。对于特别重要的、设置在粉细砂地基上的防冲槽,槽底宜铺设柴排,并且减小槽深,增加槽宽,以便更有效地保护冲坑边坡,保证海漫的稳定。



 水利百科
百科检索推荐
